A program turtle is an example with the combination of
TfeTextView and GtkDrawingArea objects. It is a very small interpreter
but you can draw fractal curves with it. The following diagram is a Koch
curve, which is one of famous fractal curves.
The following is a snow-crystal-shaped curve. It is composed of six Koch curves.
This program uses flex and bison. Flex is a lexical analyzer. Bison is a parser generator. These two programs are similar to lex and yacc which are proprietary software developed in Bell Laboratory. However, flex and bison are open source software. I will write about how to use those software, but they are not topics about GTK 4. So, readers can skip this section.
The turtle document is here. I’ll show you a simple example.
fc (1,0,0) # Foreground color is red, rgb = (1,0,0).
pd # Pen down.
rp (4) { # Repeat four times.
fd 100 # Go forward by 100 pixels.
tr 90 # Turn right by 90 degrees.
}
turtle (See the documentation
above). Then, run turtle.Run button, then a red square appears on
the right part of the window. The side of the square is 100 pixels
long.In the same way, you can draw other curves. The turtle document
includes some fractal curves such as tree, snow and square-koch. The
source codes are located at src/turtle/example directory. You can read
these files into turtle editor by clicking on the
Open button.
Turtle uses TfeTextView and GtkDrawingArea. It is similar to
color program in the previous section.
The body of the interpreter is written with flex and bison. The codes
are not thread safe. So the handler of “clicked” signal of the
Run button prevents from reentering.
@@@include turtle/turtleapplication.c run_cb resize_cb @@@
busy holds a status of the
interpreter. If it is TRUE, the interpreter is running and
it is not possible to call the interpreter again because it’s not a
re-entrant program. If it is FALSE, it is safe to call the
interpreter.busy to TRUE to avoid reentrance.tb.surface is a static variable. It
points to a cairo_surface_t instance. It is created when
the GtkDrawingArea instance is realized and whenever it is resized.
Therefore, surface isn’t NULL usually. But if it is NULL,
the interpreter won’t be called.run
(runtime routine).contents.busy is now
changed to FALSE.surface isn’t
NULL, it is destroyed. A new surface is created. Its size is the same as
the surface of the GtkDrawingArea instance. Run_cb is called to redraw
the shape on the drawing area.Other part of turtleapplication.c is almost same as the
codes of colorapplication.c in the previous section. The
codes of turtleapplication.c is in the turtle
directory.
Suppose that the turtle runs with the following program.
distance = 100
fd distance*2
The turtle recognizes the program above and works as follows.
yylex to read a token in
the source file. yylex returns a code which is called
“token kind” and sets a global variable yylval with a
value, which is called a semantic value. The type of yylval
is union and yylval.ID is string and
yylval.NUM is double. There are seven tokens in the program
so yylex is called seven times.| token kind | yylval.ID | yylval.NUM | |
|---|---|---|---|
| 1 | ID | distance | |
| 2 | = | ||
| 3 | NUM | 100 | |
| 4 | FD | ||
| 5 | ID | distance | |
| 6 | * | ||
| 7 | NUM | 2 |
yylex returns a token kind every time, but it doesn’t
set yylval.ID or yylval.NUM every time. It is
because keywords (FD) and symbols (= and
*) don’t have any semantic values. The function
yylex is called lexical analyzer or scanner.turtle makes a tree structured data. This part of
turtle is called parser.
turtle analyzes the tree and executes it. This part of
turtle is called runtime routine or interpreter. The tree
consists of rectangles and line segments between the rectangles. The
rectangles are called nodes. For example, N_PROGRAM, N_ASSIGN, N_FD and
N_MUL are nodes.
turtle checks if the first child is ID. If it’s ID, then
turtle looks for the variable in the variable table. If it
doesn’t exist, it registers the ID (distance) to the table.
Then go back to the N_ASSIGN node.turtle calculates the second child. In this case its a
number 100. Saves 100 to the variable table at the distance
record.turtle goes back to N_PROGRAM then go to the next node
N_FD. It has only one child. Goes down to the child N_MUL.distance and gets the value 100. The second
child is a number 2. Multiplies 100 by 2 and gets 200. Then
turtle goes back to N_FD.turtle knows the distance is 200. It moves the
cursor forward by 200 pixels. The segment is drawn on the surface
(surface).run_cb.run_cb calls gtk_widget_queue_draw and put
the GtkDrawingArea widget to the queue.draw_func is called. The function copies the surface
(surface) to the surface in the GtkDrawingArea.Actual turtle program is more complicated than the example above. However, what turtle does is basically the same. Interpretation consists of three parts.
The source files are:
turtle.lexturtle.yturtle_lex.hturtleapplication.cturtle.ui,
turtle.gresources.xml and meson.buildThe compilation process is a bit complicated.
turtle.ui to
resources.c according to turtle.gresource.xml.
It also generates resources.h.turtle.y to turtle_parser.c
and generates turtle_parser.hturtle.lex to
turtle_lex.c.application.c, resources.c,
turtle_parser.c and turtle_lex.c with
turtle_lex.h, resources.h and
turtle_parser.h. It generates an executable file
turtle.
Meson controls the process. The instruction is described in
meson.build.
@@@include turtle/meson.build @@@
gcc in linux.#include <math.h>
and also link the library with the linker.turtle.gresource.xml.turtle.y to turtle_parser.c
and turtle_parser.h by bison. The function
custom_target creates a custom top level target. See Meson
build system website – custom target for further information.turtle.lex to turtle_lex.c by
flex.turtleparser[1] refers to tirtle_parser.h
which is the second output in the line 13.Flex creates lexical analyzer from flex source file. Flex source file is a text file. Its syntactic rule will be explained later. Generated lexical analyzer is a C source file. It is also called scanner. It reads a text file, which is a source file of a program language, and gets variable names, numbers and symbols. Suppose here is a turtle source file.
fc (1,0,0) # Foreground color is red, rgb = (1,0,0).
pd # Pen down.
distance = 100
angle = 90
fd distance # Go forward by distance (100) pixels.
tr angle # Turn right by angle (90) degrees.
The content of the text file is separated into fc,
(, 1 and so on. The words fc,
pd, distance, angle,
tr, 1, 0, 100 and
90 are called tokens. The characters ‘(’ (left
parenthesis), ‘,’ (comma), ‘)’ (right
parenthesis) and ‘=’ (equal sign) are called symbols. (
Sometimes those symbols called tokens, too.)
Flex reads turtle.lex and generates the C source file of
a scanner. The file turtle.lex specifies tokens, symbols
and the behavior which corresponds to each token or symbol. Turtle.lex
isn’t a big program.
@@@include turtle/turtle.lex @@@
The file consists of three sections which are separated by “%%” (line 18 and 56). They are definitions, rules and user code sections.
strlen, in line 65, is defined in
string.h The function atof, in line 40, is
defined in stdlib.h.nline and
ncolumn. The function get_location (line
61-66) sets yyllocto point the start and end point of
yytext in the buffer. This function is declared here so
that it can be called before the function is defined.%option noyywrap) must be specified
when you have only single source file to the scanner. Refer to “9 The
Generated Scanner” in the flex documentation in your distribution for
further information. (The documentation is not on the internet.)REAL_NUMBER and IDENTIFIER are
names. A name begins with a letter or an underscore followed by zero or
more letters, digits, underscores (_) or dashes
(-). They are followed by regular expressions which are
their definitions. They will be used in rules section and will expand to
the definition. You can leave out such definitions here and use regular
expressions in rules section directly.This section is the most important part. Rules consist of patterns and actions. The patterns are regular expressions or names surrounded by braces. The names must be defined in the definitions section. The definition of the regular expression is written in the flex documentation.
For example, line 40 is a rule.
{REAL_NUMBER} is a patternget_location (yytext); yylval.NUM = atof (yytext); return NUM;
is an action.{REAL_NUMBER} is defined in the line 17, so it expands
to (0|[1-9][0-9]*)(\.[0-9]+)?. This regular expression
matches numbers like 0, 12 and
1.5. If an input is a number, it matches the pattern in
line 40. Then the matched text is assigned to yytext and
corresponding action is executed. A function get_location
changes the location variables to the position at the text. It assigns
atof (yytext), which is double sized number converted from
yytext, to yylval.NUM and return
NUM. NUM is a token kind and it represents
integer. It is defined in turtle.y.
The scanner generated by flex has yylex function. If
yylex is called and the input is “123.4”, then it works as
follows.
{REAL_NUMBER}.ncolumn and
yyllocwith get_location.atof converts the string “123.4” to double
type number 123.4.yylval.NUM.yylex returns NUM to the caller.Then the caller knows the input is a number (NUM), and
its value is 123.4.
. (dot) matches any character except
newline. Therefore, a comment begins # followed by any
characters except newline. No action happens.ncolumn by
one.nline by one and
resets ncolumn.ncolumn and yylloc, and return the token kinds
of the keywords.IDENTIFIER is defined in line 18. The location
variables are updated and the name of the identifier is assigned to
yylval.ID. The memory of the name is allocated by the
function g_strdup. The memory is registered to the list
(GSlist type list). The memory will be freed after the runtime routine
finishes. A token kind ID is returned.YYUNDEF is returned.This section is just copied to C source file.
get_location. The location of the
input is recorded to nline and ncolumn. A
variable yylloc is referred by the parser. It is a C
structure and has four members, first_line,
first_column, last_line and
last_column. They point the start and end of the current
input text.YY_BUFFER_STATE is a pointer points the input
buffer.init_flex is called by
run_cb which is a “clicked” signal handler on the
Run button. It has one string type parameter. The caller
assigns it with the content of the GtkTextBuffer instance. A function
yy_scan_string sets the input buffer for the scanner.finalize_flex is called after runtime
routine finishes. It deletes the input buffer.Turtle.y has more than 800 lines so it is difficult to explain all the source code. So I will explain the key points and leave out other less important parts.
Bison creates C source file of a parser from a bison source file. The bison source file is a text file. A parser analyzes a program source code according to its grammar. Suppose here is a turtle source file.
fc (1,0,0) # Foreground color is red, rgb = (1,0,0).
pd # Pen down.
distance = 100
angle = 90
fd distance # Go forward by distance (100) pixels.
tr angle # Turn right by angle (90) degrees.
The parser calls yylex to get a token. The token
consists of its type (token kind) and value (semantic value). So, the
parser gets items in the following table whenever it calls
yylex.
| token kind | yylval.ID | yylval.NUM | |
|---|---|---|---|
| 1 | FC | ||
| 2 | ( | ||
| 3 | NUM | 1.0 | |
| 4 | , | ||
| 5 | NUM | 0.0 | |
| 6 | , | ||
| 7 | NUM | 0.0 | |
| 8 | ) | ||
| 9 | PD | ||
| 10 | ID | distance | |
| 11 | = | ||
| 12 | NUM | 100.0 | |
| 13 | ID | angle | |
| 14 | = | ||
| 15 | NUM | 90.0 | |
| 16 | FD | ||
| 17 | ID | distance | |
| 18 | TR | ||
| 19 | ID | angle |
Bison source code specifies the grammar rules of turtle language. For
example, fc (1,0,0) is called primary procedure. A
procedure is like a void type C function. It doesn’t return any values.
Programmers can define their own procedures. On the other hand,
fc is a built-in procedure. Such procedures are called
primary procedures. It is described in bison source code like:
primary_procedure: FC '(' expression ',' expression ',' expression ')';
expression: ID | NUM;
This means:
The description above is called BNF (Backus-Naur form). Precisely speaking, it is not exactly the same as BNF. But the difference is small.
The first line is:
FC '(' NUM ',' NUM ',' NUM ')';
The parser analyzes the turtle source code and if the input matches the definition above, the parser recognizes it as a primary procedure.
The grammar of turtle is described in the Turtle manual. The following is an extract from the document.
program:
statement
| program statement
;
statement:
primary_procedure
| procedure_definition
;
primary_procedure:
PU
| PD
| PW expression
| FD expression
| TR expression
| TL expression
| BC '(' expression ',' expression ',' expression ')'
| FC '(' expression ',' expression ',' expression ')'
| ID '=' expression
| IF '(' expression ')' '{' primary_procedure_list '}'
| RT
| RS
| RP '(' expression ')' '{' primary_procedure_list '}'
| ID '(' ')'
| ID '(' argument_list ')'
;
procedure_definition:
DP ID '(' ')' '{' primary_procedure_list '}'
| DP ID '(' parameter_list ')' '{' primary_procedure_list '}'
;
parameter_list:
ID
| parameter_list ',' ID
;
argument_list:
expression
| argument_list ',' expression
;
primary_procedure_list:
primary_procedure
| primary_procedure_list primary_procedure
;
expression:
expression '=' expression
| expression '>' expression
| expression '<' expression
| expression '+' expression
| expression '-' expression
| expression '*' expression
| expression '/' expression
| '-' expression %prec UMINUS
| '(' expression ')'
| ID
| NUM
;
The grammar rule defines program first.
The definition is recursive.
statement is program.statement statement is program statement.
Therefore, it is program.statement statement statement is
program statement. Therefore, it is program.You can find that a sequence of statements is program like this.
program and statement aren’t tokens. They
don’t appear in the input. They are called non terminal symbols. On the
other hand, tokens are called terminal symbols. The word “token” used
here has wide meaning, it includes tokens and symbols which appear in
the input. Non terminal symbols are often shortened to nterm.
Let’s analyze the program above as bison does.
| token kind | yylval.ID | yylval.NUM | parse | S/R | |
|---|---|---|---|---|---|
| 1 | FC | FC | S | ||
| 2 | ( | FC( | S | ||
| 3 | NUM | 1.0 | FC(NUM | S | |
| FC(expression | R | ||||
| 4 | , | FC(expression, | S | ||
| 5 | NUM | 0.0 | FC(expression,NUM | S | |
| FC(expression,expression | R | ||||
| 6 | , | FC(expression,expression, | S | ||
| 7 | NUM | 0.0 | FC(expression,expression,NUM | S | |
| FC(expression,expression,expression | R | ||||
| 8 | ) | FC(expression,expression,expression) | S | ||
| primary_procedure | R | ||||
| statement | R | ||||
| program | R | ||||
| 9 | PD | program PD | S | ||
| program primary_procedure | R | ||||
| program statement | R | ||||
| program | R | ||||
| 10 | ID | distance | program ID | S | |
| 11 | = | program ID= | S | ||
| 12 | NUM | 100.0 | program ID=NUM | S | |
| program ID=expression | R | ||||
| program primary_procedure | R | ||||
| program statement | R | ||||
| program | R | ||||
| 13 | ID | angle | program ID | S | |
| 14 | = | program ID= | S | ||
| 15 | NUM | 90.0 | program ID=NUM | S | |
| program ID=expression | R | ||||
| program primary_procedure | R | ||||
| program statement | R | ||||
| program | R | ||||
| 16 | FD | program FD | S | ||
| 17 | ID | distance | program FD ID | S | |
| program FD expression | R | ||||
| program primary_procedure | R | ||||
| program statement | R | ||||
| program | R | ||||
| 18 | TR | program TR | S | ||
| 19 | ID | angle | program TR ID | S | |
| program TR expression | R | ||||
| program primary_procedure | R | ||||
| program statement | R | ||||
| program | R |
The right most column shows shift/reduce. Shift is appending an input to the buffer. Reduce is substituting a higher nterm for the pattern in the buffer. For example, NUM is replaced by expression in the forth row. This substitution is “reduce”.
Bison repeats shift and reduction until the end of the input. If the
result is reduced to program, the input is syntactically
valid. Bison executes an action whenever reduction occurs. Actions build
a tree. The tree is analyzed and executed by runtime routine later.
Bison source files are called bison grammar files. A bison grammar file consists of four sections, prologue, declarations, rules and epilogue. The format is as follows.
%{
prologue
%}
declarations
%%
rules
%%
epilogue
Prologue section consists of C codes and the codes are copied to the
parser implementation file. You can use %code directives to
qualify the prologue and identifies the purpose explicitly. The
following is an extract from turtle.y.
%code top{
#include <stdarg.h>
#include <setjmp.h>
#include <math.h>
#include <glib.h>
#include <cairo.h>
#include "turtle_parser.h"
/* The following line defines 'debug' so that debug information is printed out during the run time. */
/* However it makes the program slow. */
/* If you want to debug on, uncomment the line. */
/* #define debug 1 */
extern cairo_surface_t *surface;
/* error reporting */
static void yyerror (char const *s) { /* for syntax error */
g_print ("%s from line %d, column %d to line %d, column %d\n",s, yylloc.first_line, yylloc.first_column, yylloc.last_line, yylloc.last_column);
}
/* Node type */
enum {
N_PU,
N_PD,
N_PW,
... ... ...
};
}
The directive %code top copies its contents to the top
of the parser implementation file. It usually includes
#include directives, declarations of functions and
definitions of constants. A function yyerror reports a
syntax error and is called by the parser. Node type identifies a node in
the tree.
Another directive %code requires copies its contents to
both the parser implementation file and header file. The header file is
read by the scanner C source file and other files.
%code requires {
int yylex (void);
int yyparse (void);
void run (void);
/* semantic value type */
typedef struct _node_t node_t;
struct _node_t {
int type;
union {
struct {
node_t *child1, *child2, *child3;
} child;
char *name;
double value;
} content;
};
}
yylex is shared by the parser implementation file and
scanner file.yyparse and run is called by
run_cb in turtleapplication.c.node_t is the type of the semantic value of nterms. The
header file defines YYSTYPE, which is the semantic value
type, with all the token and nterm value types. The following is
extracted from the header file./* Value type. */
#if ! defined YYSTYPE && ! defined YYSTYPE_IS_DECLARED
union YYSTYPE
{
char * ID; /* ID */
double NUM; /* NUM */
node_t * program; /* program */
node_t * statement; /* statement */
node_t * primary_procedure; /* primary_procedure */
node_t * primary_procedure_list; /* primary_procedure_list */
node_t * procedure_definition; /* procedure_definition */
node_t * parameter_list; /* parameter_list */
node_t * argument_list; /* argument_list */
node_t * expression; /* expression */
};
Other useful macros and declarations are put into the
%code directive.
%code {
/* The following macro is convenient to get the member of the node. */
#define child1(n) (n)->content.child.child1
#define child2(n) (n)->content.child.child2
#define child3(n) (n)->content.child.child3
#define name(n) (n)->content.name
#define value(n) (n)->content.value
/* start of nodes */
static node_t *node_top = NULL;
/* functions to generate trees */
static node_t *tree1 (int type, node_t *child1, node_t *child2, node_t *child3);
static node_t *tree2 (int type, double value);
static node_t *tree3 (int type, char *name);
}
Bison declarations defines terminal and non-terminal symbols. It also specifies some directives.
%locations
%define api.value.type union /* YYSTYPE, the type of semantic values, is union of following types */
/* key words */
%token PU
%token PD
%token PW
%token FD
%token TR
%token TL
%token BC
%token FC
%token DP
%token IF
%token RT
%token RS
%token RP
/* constant */
%token <double> NUM
/* identirier */
%token <char *> ID
/* non terminal symbol */
%nterm <node_t *> program
%nterm <node_t *> statement
%nterm <node_t *> primary_procedure
%nterm <node_t *> primary_procedure_list
%nterm <node_t *> procedure_definition
%nterm <node_t *> parameter_list
%nterm <node_t *> argument_list
%nterm <node_t *> expression
/* logical relation symbol */
%left '=' '<' '>'
/* arithmetic symbol */
%left '+' '-'
%left '*' '/'
%precedence UMINUS /* unary minus */
%locations directive inserts the location structure into
the header file. It is like this.
typedef struct YYLTYPE YYLTYPE;
struct YYLTYPE
{
int first_line;
int first_column;
int last_line;
int last_column;
};
This type is shared by the scanner file and the parser implementation
file. The error report function yyerror uses it so that it
can inform the location that error occurs.
%define api.value.type union generates semantic value
type with tokens and nterms and inserts it to the header file. The
inserted part is shown in the previous subsection as the extracts that
shows the value type (YYSTYPE).
%token and %nterm directives define tokens
and non terminal symbols respectively.
%token PU
... ...
%token <double> NUM
These directives define a token PU and NUM.
The values of token kinds PU and NUM are
defined as an enumeration constant in the header file.
enum yytokentype
{
... ... ...
PU = 258, /* PU */
... ... ...
NUM = 269, /* NUM */
... ... ...
};
typedef enum yytokentype yytoken_kind_t;
In addition, the type of the semantic value of NUM is
defined as double in the header file because of
<double> tag.
union YYSTYPE
{
char * ID; /* ID */
double NUM; /* NUM */
... ...
}
All the nterm symbols have the same type * node_t of the
semantic value.
%left and %precedence directives define the
precedence of operation symbols.
/* logical relation symbol */
%left '=' '<' '>'
/* arithmetic symbol */
%left '+' '-'
%left '*' '/'
%precedence UMINUS /* unary minus */
%left directive defines the following symbols as
left-associated operators. If an operator + is
left-associated, then
A + B + C = (A + B) + C
That is, the calculation is carried out the left operator first, then
the right operator. If an operator * is right-associated,
then:
A * B * C = A * (B * C)
The definition above decides the behavior of the parser. Addition and
multiplication hold associative law so the result of
(A+B)+C and A+(B+C) are equal in terms of
mathematics. However, the parser will be confused if left (or right)
associativity is not specified.
%left and %precedence directives show the
precedence of operators. Later declared operators have higher precedence
than former declared ones. The declaration above says, for example,
v=w+z*5+7 is the same as v=((w+(z*5))+7)
Be careful. The operator = above is an assignment.
Assignment is not expression in turtle language. It is
primary_procedure. But if = appears in an expression, it is
a logical operator, not an assignment. The logical equal
‘=’ usually used in the conditional expression, for
example, in if statement. (Turtle language uses ‘=’ instead
of ‘==’ in C language).
Grammar rules section defines the syntactic grammar of the language. It is similar to BNF form.
result: components { action };
The following is a part of the grammar rule in
turtle.y.
program:
statement { node_top = $$ = $1; }
;
statement:
primary_procedure
;
primary_procedure:
FD expression { $$ = tree1 (N_FD, $2, NULL, NULL); }
;
expression:
NUM { $$ = tree2 (N_NUM, $1); }
;
program is
statement.statement is reduced to program,
an action node_top=$$=$1; is executed.node_top is a static variable. It points the top node
of the tree.$$ is a semantic value of the result. For
example, $$ in line 2 is the semantic value of
program. It is a pointer to a node_t type
structure.$1 is a semantic value of the first component. For
example, $1 in line 2 is the semantic value of
statement. It is also a pointer to
node_t.statement is
primary_procedure. There’s no action specified. Then, the
default action $$ = $1 is executed.primary_procedure is
FD followed by expression. The action calls
tree1 and assigns its return value to $$. The
function tree1 makes a tree node. The tree node has type
and union of three pointers to children nodes, string or double.node --+-- type
+-- union contents
+---struct {node_t *child1, *child2, *child3;};
+---char *name
+---double value
tree1 assigns the four arguments to type, child1,
child2 and child3 members.expression is
NUM.tree2 makes a tree node. The paremeters of
tree2 are a type and a semantic value.Suppose the parser reads the following program.
fd 100
What does the parser do?
FD. Maybe it is the
start of primary_procedure, but parser needs to read the
next token.yylex returns the token kind NUM and sets
yylval.NUM to 100.0 (the type is double). The parser
reduces NUM to expression. At the same time,
it sets the semantic value of the expression to point a new
node. The node has an type N_NUM and a semantic value
100.0.FD and
expression. The parser reduces it to
primary_procedure. And it sets the semantic value of the
primary_procedure to point a new node. The node has an type
N_FD and its member child1 points the node of
expression, whose type is N_NUM.primary_procedure to
statement. The semantic value of statement is
the same as the one of primary_procedure, which points to
the node N_FD.statement to program.
The semantic value of statement is assigned to the one of
program and the static variable node_top.node_top points the node N_FD and
the node N_FD points the node N_NUM.
The following is the grammar rule extracted from
turtle.y. The rules there are based on the same idea above.
I don’t want to explain the whole rules below. Please look into each
line carefully so that you will understand all the rules and
actions.
program:
statement { node_top = $$ = $1; }
| program statement {
node_top = $$ = tree1 (N_program, $1, $2, NULL);
}
;
statement:
primary_procedure
| procedure_definition
;
primary_procedure:
PU { $$ = tree1 (N_PU, NULL, NULL, NULL); }
| PD { $$ = tree1 (N_PD, NULL, NULL, NULL); }
| PW expression { $$ = tree1 (N_PW, $2, NULL, NULL); }
| FD expression { $$ = tree1 (N_FD, $2, NULL, NULL); }
| TR expression { $$ = tree1 (N_TR, $2, NULL, NULL); }
| TL expression { $$ = tree1 (N_TL, $2, NULL, NULL); } /* ver 0.5 */
| BC '(' expression ',' expression ',' expression ')' { $$ = tree1 (N_BC, $3, $5, $7); }
| FC '(' expression ',' expression ',' expression ')' { $$ = tree1 (N_FC, $3, $5, $7); }
/* assignment */
| ID '=' expression { $$ = tree1 (N_ASSIGN, tree3 (N_ID, $1), $3, NULL); }
/* control flow */
| IF '(' expression ')' '{' primary_procedure_list '}' { $$ = tree1 (N_IF, $3, $6, NULL); }
| RT { $$ = tree1 (N_RT, NULL, NULL, NULL); }
| RS { $$ = tree1 (N_RS, NULL, NULL, NULL); }
| RP '(' expression ')' '{' primary_procedure_list '}' { $$ = tree1 (N_RP, $3, $6, NULL); }
/* user defined procedure call */
| ID '(' ')' { $$ = tree1 (N_procedure_call, tree3 (N_ID, $1), NULL, NULL); }
| ID '(' argument_list ')' { $$ = tree1 (N_procedure_call, tree3 (N_ID, $1), $3, NULL); }
;
procedure_definition:
DP ID '(' ')' '{' primary_procedure_list '}' {
$$ = tree1 (N_procedure_definition, tree3 (N_ID, $2), NULL, $6);
}
| DP ID '(' parameter_list ')' '{' primary_procedure_list '}' {
$$ = tree1 (N_procedure_definition, tree3 (N_ID, $2), $4, $7);
}
;
parameter_list:
ID { $$ = tree3 (N_ID, $1); }
| parameter_list ',' ID { $$ = tree1 (N_parameter_list, $1, tree3 (N_ID, $3), NULL); }
;
argument_list:
expression
| argument_list ',' expression { $$ = tree1 (N_argument_list, $1, $3, NULL); }
;
primary_procedure_list:
primary_procedure
| primary_procedure_list primary_procedure {
$$ = tree1 (N_primary_procedure_list, $1, $2, NULL);
}
;
expression:
expression '=' expression { $$ = tree1 (N_EQ, $1, $3, NULL); }
| expression '>' expression { $$ = tree1 (N_GT, $1, $3, NULL); }
| expression '<' expression { $$ = tree1 (N_LT, $1, $3, NULL); }
| expression '+' expression { $$ = tree1 (N_ADD, $1, $3, NULL); }
| expression '-' expression { $$ = tree1 (N_SUB, $1, $3, NULL); }
| expression '*' expression { $$ = tree1 (N_MUL, $1, $3, NULL); }
| expression '/' expression { $$ = tree1 (N_DIV, $1, $3, NULL); }
| '-' expression %prec UMINUS { $$ = tree1 (N_UMINUS, $2, NULL, NULL); }
| '(' expression ')' { $$ = $2; }
| ID { $$ = tree3 (N_ID, $1); }
| NUM { $$ = tree2 (N_NUM, $1); }
;
The epilogue is written in C language and copied to the parser implementation file. Generally, you can put anything into the epilogue. In the case of turtle interpreter, the runtime routine and some other functions are in the epilogue.
There are three functions, tree1, tree2 and
tree3.
tree1 creates a node and sets the node type and
pointers to its three children (NULL is possible).tree2 creates a node and sets the node type and a value
(double).tree3 creates a node and sets the node type and a
pointer to a string.Each function gets memories first and build a node on them. The memories are inserted to the list. They will be freed when runtime routine finishes.
The three functions are called in the actions in the rules section.
/* Dynamically allocated memories are added to the single list. They will be freed in the finalize function. */
GSList *list = NULL;
node_t *
tree1 (int type, node_t *child1, node_t *child2, node_t *child3) {
node_t *new_node;
list = g_slist_prepend (list, g_malloc (sizeof (node_t)));
new_node = (node_t *) list->data;
new_node->type = type;
child1(new_node) = child1;
child2(new_node) = child2;
child3(new_node) = child3;
return new_node;
}
node_t *
tree2 (int type, double value) {
node_t *new_node;
list = g_slist_prepend (list, g_malloc (sizeof (node_t)));
new_node = (node_t *) list->data;
new_node->type = type;
value(new_node) = value;
return new_node;
}
node_t *
tree3 (int type, char *name) {
node_t *new_node;
list = g_slist_prepend (list, g_malloc (sizeof (node_t)));
new_node = (node_t *) list->data;
new_node->type = type;
name(new_node) = name;
return new_node;
}Variables and user defined procedures are registered in a symbol table. This table is a C array. It should be replaced by more appropriate data structure with memory allocation in the future version
Therefore the table has the following fields.
#define MAX_TABLE_SIZE 100
enum {
PROC,
VAR
};
typedef union _object_t object_t;
union _object_t {
node_t *node;
double value;
};
struct {
int type;
char *name;
object_t object;
} table[MAX_TABLE_SIZE];
int tp;
void
init_table (void) {
tp = 0;
}init_table initializes the table. This must be called
before registrations.
There are five functions to access the table,
proc_install installs a procedure.var_install installs a variable.proc_lookup looks up a procedure. If the procedure is
found, it returns a pointer to the node. Otherwise it returns NULL.var_lookup looks up a variable. If the variable is
found, it returns TRUE and sets the pointer (argument) to point the
value. Otherwise it returns FALSE.var_replace replaces the value of a variable. If the
variable hasn’t registered yet, it installs the variable.int
tbl_lookup (int type, char *name) {
int i;
if (tp == 0)
return -1;
for (i=0; i<tp; ++i)
if (type == table[i].type && strcmp(name, table[i].name) == 0)
return i;
return -1;
}
void
tbl_install (int type, char *name, object_t object) {
if (tp >= MAX_TABLE_SIZE)
runtime_error ("Symbol table overflow.\n");
else if (tbl_lookup (type, name) >= 0)
runtime_error ("Name %s is already registered.\n", name);
else {
table[tp].type = type;
table[tp].name = name;
if (type == PROC)
table[tp++].object.node = object.node;
else
table[tp++].object.value = object.value;
}
}
void
proc_install (char *name, node_t *node) {
object_t object;
object.node = node;
tbl_install (PROC, name, object);
}
void
var_install (char *name, double value) {
object_t object;
object.value = value;
tbl_install (VAR, name, object);
}
void
var_replace (char *name, double value) {
int i;
if ((i = tbl_lookup (VAR, name)) >= 0)
table[i].object.value = value;
else
var_install (name, value);
}
node_t *
proc_lookup (char *name) {
int i;
if ((i = tbl_lookup (PROC, name)) < 0)
return NULL;
else
return table[i].object.node;
}
gboolean
var_lookup (char *name, double *value) {
int i;
if ((i = tbl_lookup (VAR, name)) < 0)
return FALSE;
else {
*value = table[i].object.value;
return TRUE;
}
}Stack is a last-in first-out data structure. It is shortened to LIFO.
Turtle uses a stack to keep parameters and arguments. They are like
auto class variables in C language. They are pushed to the
stack whenever the procedure is called. LIFO structure is useful for
recursive calls.
Each element of the stack has name and value.
#define MAX_STACK_SIZE 500
struct {
char *name;
double value;
} stack[MAX_STACK_SIZE];
int sp, sp_biggest;
void
init_stack (void) {
sp = sp_biggest = 0;
}sp is a stack pointer. It is an index of the array
stack and it always points an element of the array to store
the next data. sp_biggest is the biggest number assigned to
sp. We can know the amount of elements used in the array
during the runtime. The purpose of the variable is to find appropriate
MAX_STACK_SIZE. It will be unnecessary in the future
version if the stack is implemented with better data structure and
memory allocation.
The runtime routine push data to the stack when it executes a node of
a procedure call. (The type of the node is
N_procedure_call.)
dp drawline (angle, distance) { ... ... ... }
drawline (90, 100)
drawline. The
runtime routine stores the name drawline and the node of
the procedure to the symbol table.angle and
distance.The following diagram shows the structure of the stack. First,
procedure 1 is called. The procedure has two parameters. In
the procedure 1, another procedure procedure 2
is called. It has one parameter. In the procedure 2,
another procedure procedure 3 is called. It has three
parameters. These three procedures are nested.
Programs push data to a stack from a low address memory to a high address memory. In the following diagram, the lowest address is at the top and the highest address is at the bottom. That is the order of the address. However, “the top of the stack” is the last pushed data and “the bottom of the stack” is the first pushed data. Therefore, “the top of the stack” is the bottom of the rectangle in the diagram and “the bottom of the stack” is the top of the rectangle.
There are four functions to access the stack.
stack_push pushes data to the stack.stack_lookup searches the stack for the variable given
its name as an argument. It searches only the parameters of the latest
procedure. It returns TRUE and sets the argument value to
point the value, if the variable has been found. Otherwise it returns
FALSE.stack_replace replaces the value of the variable in the
stack. If it succeeds, it returns TRUE. Otherwise returns FALSE.stack_return throws away the latest parameters. The
stack pointer goes back to the point before the latest procedure call so
that it points to parameters of the previous called procedure.void
stack_push (char *name, double value) {
if (sp >= MAX_STACK_SIZE)
runtime_error ("Stack overflow.\n");
else {
stack[sp].name = name;
stack[sp++].value = value;
sp_biggest = sp > sp_biggest ? sp : sp_biggest;
}
}
int
stack_search (char *name) {
int depth, i;
if (sp == 0)
return -1;
depth = (int) stack[sp-1].value;
if (depth + 1 > sp) /* something strange */
runtime_error ("Stack error.\n");
for (i=0; i<depth; ++i)
if (strcmp(name, stack[sp-(i+2)].name) == 0) {
return sp-(i+2);
}
return -1;
}
gboolean
stack_lookup (char *name, double *value) {
int i;
if ((i = stack_search (name)) < 0)
return FALSE;
else {
*value = stack[i].value;
return TRUE;
}
}
gboolean
stack_replace (char *name, double value) {
int i;
if ((i = stack_search (name)) < 0)
return FALSE;
else {
stack[i].value = value;
return TRUE;
}
}
void
stack_return(void) {
int depth;
if (sp <= 0)
return;
depth = (int) stack[sp-1].value;
if (depth + 1 > sp) /* something strange */
runtime_error ("Stack error.\n");
sp -= depth + 1;
}A global variable surface is shared by
turtleapplication.c and turtle.y. It is
initialized in turtleapplication.c.
The runtime routine has its own cairo context. This is different from
the cairo of GtkDrawingArea. Runtime routine draws a shape on the
surface with the cairo context. After runtime routine
returns to run_cb, run_cb adds the
GtkDrawingArea widget to the queue to redraw. When the widget is
redraw,the drawing function draw_func is called. It copies
the surface to the surface in the GtkDrawingArea
object.
turtle.y has two functions init_cairo and
destroy_cairo.
init_cairo initializes static variables and cairo
context. The variables keep pen status (up or down), direction, initial
location, line width and color. The size of the surface
changes according to the size of the window. Whenever a user drags and
resizes the window, the surface is also resized.
init_cairo gets the size first and sets the initial
location of the turtle (center of the surface) and the transformation
matrix.destroy_cairo just destroys the cairo context.Turtle has its own coordinate. The origin is at the center of the surface, and positive direction of x and y axes are right and up respectively. But surfaces have its own coordinate. Its origin is at the top-left corner of the surface and positive direction of x and y are right and down respectively. A plane with the turtle’s coordinate is called user space, which is the same as cairo’s user space. A plane with the surface’s coordinate is called device space.
Cairo provides a transformation which is an affine transformation. It transforms a user-space coordinate (x, y) into a device-space coordinate (z, w).
init_cairo gets the width and height of the
surface (See the program below).
You can determine a, b, c, d, p and q by substituting the numbers above for x, y, z and w in the equation above. The solution of the simultaneous equations is:
a = 1, b = 0, c = 0, d = -1, p = width/2, q = height/2
Cairo provides a structure cairo_matrix_t.
init_cairo uses it and sets the cairo transformation (See
the program below). Once the matrix is set, the transformation always
performs whenever cairo_stroke function is invoked.
/* status of the surface */
static gboolean pen = TRUE;
static double angle = 90.0; /* angle starts from x axis and measured counterclockwise */
/* Initially facing to the north */
static double cur_x = 0.0;
static double cur_y = 0.0;
static double line_width = 2.0;
struct color {
double red;
double green;
double blue;
};
static struct color bc = {0.95, 0.95, 0.95}; /* white */
static struct color fc = {0.0, 0.0, 0.0}; /* black */
/* cairo */
static cairo_t *cr;
gboolean
init_cairo (void) {
int width, height;
cairo_matrix_t matrix;
pen = TRUE;
angle = 90.0;
cur_x = 0.0;
cur_y = 0.0;
line_width = 2.0;
bc.red = 0.95; bc.green = 0.95; bc.blue = 0.95;
fc.red = 0.0; fc.green = 0.0; fc.blue = 0.0;
if (surface) {
width = cairo_image_surface_get_width (surface);
height = cairo_image_surface_get_height (surface);
matrix.xx = 1.0; matrix.xy = 0.0; matrix.x0 = (double) width / 2.0;
matrix.yx = 0.0; matrix.yy = -1.0; matrix.y0 = (double) height / 2.0;
cr = cairo_create (surface);
cairo_transform (cr, &matrix);
cairo_set_source_rgb (cr, bc.red, bc.green, bc.blue);
cairo_paint (cr);
cairo_set_source_rgb (cr, fc.red, fc.green, fc.blue);
cairo_move_to (cr, cur_x, cur_y);
return TRUE;
} else
return FALSE;
}
void
destroy_cairo () {
cairo_destroy (cr);
}A function eval evaluates an expression and returns the
value of the expression. It calls itself recursively. For example, if
the node is N_ADD, then:
This is performed by a macro calc defined in the sixth
line in the following program.
double
eval (node_t *node) {
double value = 0.0;
if (node == NULL)
runtime_error ("No expression to evaluate.\n");
#define calc(op) eval (child1(node)) op eval (child2(node))
switch (node->type) {
case N_EQ:
value = (double) calc(==);
break;
case N_GT:
value = (double) calc(>);
break;
case N_LT:
value = (double) calc(<);
break;
case N_ADD:
value = calc(+);
break;
case N_SUB:
value = calc(-);
break;
case N_MUL:
value = calc(*);
break;
case N_DIV:
if (eval (child2(node)) == 0.0)
runtime_error ("Division by zerp.\n");
else
value = calc(/);
break;
case N_UMINUS:
value = -(eval (child1(node)));
break;
case N_ID:
if (! (stack_lookup (name(node), &value)) && ! var_lookup (name(node), &value) )
runtime_error ("Variable %s not defined.\n", name(node));
break;
case N_NUM:
value = value(node);
break;
default:
runtime_error ("Illegal expression.\n");
}
return value;
}Primary procedures and procedure definitions are analyzed and
executed by the function execute. It doesn’t return any
values. It calls itself recursively. The process of N_RT
and N_procedure_call is complicated. It will explained
after the following program. Other parts are not so difficult. Read the
program below carefully so that you will understand the process.
/* procedure - return status */
static int proc_level = 0;
static int ret_level = 0;
void
execute (node_t *node) {
double d, x, y;
char *name;
int n, i;
if (node == NULL)
runtime_error ("Node is NULL.\n");
if (proc_level > ret_level)
return;
switch (node->type) {
case N_program:
execute (child1(node));
execute (child2(node));
break;
case N_PU:
pen = FALSE;
break;
case N_PD:
pen = TRUE;
break;
case N_PW:
line_width = eval (child1(node)); /* line width */
break;
case N_FD:
d = eval (child1(node)); /* distance */
x = d * cos (angle*M_PI/180);
y = d * sin (angle*M_PI/180);
/* initialize the current point = start point of the line */
cairo_move_to (cr, cur_x, cur_y);
cur_x += x;
cur_y += y;
cairo_set_line_width (cr, line_width);
cairo_set_source_rgb (cr, fc.red, fc.green, fc.blue);
if (pen)
cairo_line_to (cr, cur_x, cur_y);
else
cairo_move_to (cr, cur_x, cur_y);
cairo_stroke (cr);
break;
case N_TR:
angle -= eval (child1(node));
for (; angle < 0; angle += 360.0);
for (; angle>360; angle -= 360.0);
break;
case N_BC:
bc.red = eval (child1(node));
bc.green = eval (child2(node));
bc.blue = eval (child3(node));
#define fixcolor(c) c = c < 0 ? 0 : (c > 1 ? 1 : c)
fixcolor (bc.red);
fixcolor (bc.green);
fixcolor (bc.blue);
/* clear the shapes and set the background color */
cairo_set_source_rgb (cr, bc.red, bc.green, bc.blue);
cairo_paint (cr);
break;
case N_FC:
fc.red = eval (child1(node));
fc.green = eval (child2(node));
fc.blue = eval (child3(node));
fixcolor (fc.red);
fixcolor (fc.green);
fixcolor (fc.blue);
break;
case N_ASSIGN:
name = name(child1(node));
d = eval (child2(node));
if (! stack_replace (name, d)) /* First, tries to replace the value in the stack (parameter).*/
var_replace (name, d); /* If the above fails, tries to replace the value in the table. If the variable isn't in the table, installs it, */
break;
case N_IF:
if (eval (child1(node)))
execute (child2(node));
break;
case N_RT:
ret_level--;
break;
case N_RS:
pen = TRUE;
angle = 90.0;
cur_x = 0.0;
cur_y = 0.0;
line_width = 2.0;
fc.red = 0.0; fc.green = 0.0; fc.blue = 0.0;
/* To change background color, use bc. */
break;
case N_procedure_call:
name = name(child1(node));
node_t *proc = proc_lookup (name);
if (! proc)
runtime_error ("Procedure %s not defined.\n", name);
if (strcmp (name, name(child1(proc))) != 0)
runtime_error ("Unexpected error. Procedure %s is called, but invoked procedure is %s.\n", name, name(child1(proc)));
/* make tuples (parameter (name), argument (value)) and push them to the stack */
node_t *param_list;
node_t *arg_list;
param_list = child2(proc);
arg_list = child2(node);
if (param_list == NULL) {
if (arg_list == NULL) {
stack_push (NULL, 0.0); /* number of argument == 0 */
} else
runtime_error ("Procedure %s has different number of argument and parameter.\n", name);
}else {
/* Don't change the stack until finish evaluating the arguments. */
#define TEMP_STACK_SIZE 20
char *temp_param[TEMP_STACK_SIZE];
double temp_arg[TEMP_STACK_SIZE];
n = 0;
for (; param_list->type == N_parameter_list; param_list = child1(param_list)) {
if (arg_list->type != N_argument_list)
runtime_error ("Procedure %s has different number of argument and parameter.\n", name);
if (n >= TEMP_STACK_SIZE)
runtime_error ("Too many parameters. the number must be %d or less.\n", TEMP_STACK_SIZE);
temp_param[n] = name(child2(param_list));
temp_arg[n] = eval (child2(arg_list));
arg_list = child1(arg_list);
++n;
}
if (param_list->type == N_ID && arg_list -> type != N_argument_list) {
temp_param[n] = name(param_list);
temp_arg[n] = eval (arg_list);
if (++n >= TEMP_STACK_SIZE)
runtime_error ("Too many parameters. the number must be %d or less.\n", TEMP_STACK_SIZE);
temp_param[n] = NULL;
temp_arg[n] = (double) n;
++n;
} else
runtime_error ("Unexpected error.\n");
for (i = 0; i < n; ++i)
stack_push (temp_param[i], temp_arg[i]);
}
ret_level = ++proc_level;
execute (child3(proc));
ret_level = --proc_level;
stack_return ();
break;
case N_procedure_definition:
name = name(child1(node));
proc_install (name, node);
break;
case N_primary_procedure_list:
execute (child1(node));
execute (child2(node));
break;
default:
runtime_error ("Unknown statement.\n");
}
}A node N_procedure_call is created by the parser when it
has found a user defined procedure call. The procedure has been defined
in the prior statement. Suppose the parser reads the following example
code.
dp drawline (angle, distance) {
tr angle
fd distance
}
drawline (90, 100)
drawline (90, 100)
drawline (90, 100)
drawline (90, 100)
This example draws a square.
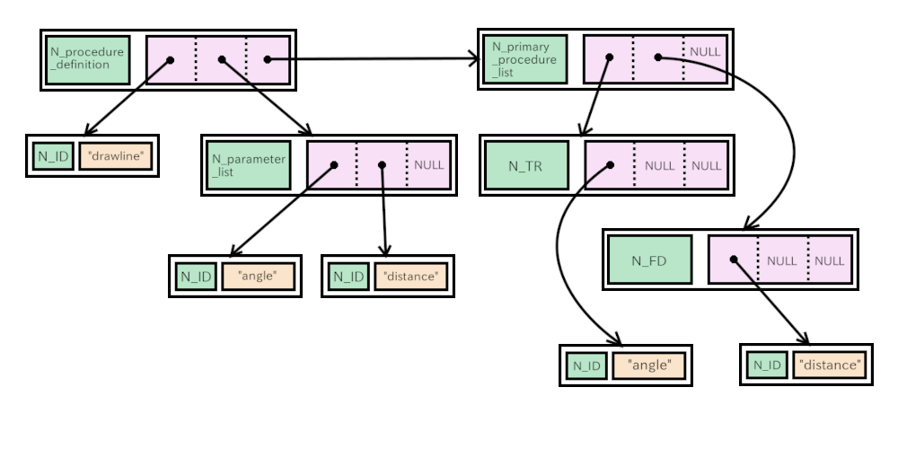
When The parser reads the lines from one to four, it creates nodes like this:
Runtime routine just stores the procedure to the symbol table with its name and node.
When the parser reads the fifth line in the example, it creates nodes like this:
When the runtime routine meets N_procedure_call node, it
behaves like this:
prc_level by one. Sets ret_level
to the same value as proc_level. proc_level is
zero when runtime routine runs on the main routine. If it goes into a
procedure, proc_level increases by one. Therefore,
proc_level is the depth of the procedure call.
ret_level is the level to return. If it is the same as
proc_level, runtime routine executes commands in order of
the commands in the procedure. If it is smaller than
proc_level, runtime routine doesn’t execute commands until
it becomes the same level as proc_level.
ret_level is used to return the procedure.proc_level by one. Sets
ret_level to the same value as proc_level.
Calls stack_return.When the runtime routine meets N_RT node, it decreases
ret_level by one so that the following commands in the
procedure are ignored by the runtime routine.
A function run is the entry of the runtime routine. A
function runtime_error reports an error occurred during the
runtime routine runs. (Errors which occur during the parsing are called
syntax error and reported by yyerror.) After
runtime_error reports an error, it stops the command
execution and goes back to run to exit.
Setjmp and longjmp functions are used. They are declared in
<setjmp.h>. setjmp (buf) saves state
information in buf and returns zero.
longjmp(buf, 1) restores the state information from
buf and returns 1 (the second argument).
Because the information is the status at the time setjmp is
called, so longjmp resumes the execution at the next of setjmp function
call. In the following program, longjmp resumes at the assignment to the
variable i. When setjmp is called, 0 is assigned to
i and execute(node_top) is called. On the
other hand, when longjmp is called, 1 is assigned to i and
execute(node_top) is not called..
g_slist_free_full frees all the allocated memories.
static jmp_buf buf;
void
run (void) {
int i;
if (! init_cairo()) {
g_print ("Cairo not initialized.\n");
return;
}
init_table();
init_stack();
ret_level = proc_level = 1;
i = setjmp (buf);
if (i == 0)
execute(node_top);
/* else ... get here by calling longjmp */
destroy_cairo ();
g_slist_free_full (g_steal_pointer (&list), g_free);
}
/* format supports only %s, %f and %d */
static void
runtime_error (char *format, ...) {
va_list args;
char *f;
char b[3];
char *s;
double v;
int i;
va_start (args, format);
for (f = format; *f; f++) {
if (*f != '%') {
b[0] = *f;
b[1] = '\0';
g_print ("%s", b);
continue;
}
switch (*++f) {
case 's':
s = va_arg(args, char *);
g_print ("%s", s);
break;
case 'f':
v = va_arg(args, double);
g_print("%f", v);
break;
case 'd':
i = va_arg(args, int);
g_print("%d", i);
break;
default:
b[0] = '%';
b[1] = *f;
b[2] = '\0';
g_print ("%s", b);
break;
}
}
va_end (args);
longjmp (buf, 1);
}A function runtime_error has a variable-length argument
list.
void runtime_error (char *format, ...)This is implemented with <stdarg.h> header file.
The va_list type variable args will refer to
each argument in turn. A function va_start initializes
args. A function va_arg returns an argument
and moves the reference of args to the next. A function
va_end cleans up everything necessary at the end.
The function runtime_error has a similar format of
printf standard function. But its format has only %s,
%f and %d.
The functions declared in <setjmp.h> and
<stdarg.h> are explained in the very famous book “The
C programming language” written by Brian Kernighan and Dennis Ritchie. I
referred to the book to write the program above.
The program turtle is unsophisticated and unpolished. If
you want to make your own language, you need to know more and more. I
don’t know any good textbook about compilers and interpreters. If you
know a good book, please let me know.
However, the following information is very useful (but old).
Lately, lots of source codes are in the internet. Maybe reading source codes is the most useful for programmers.